首页
资源投稿
免责声明
菜单
首页
资源投稿
免责声明
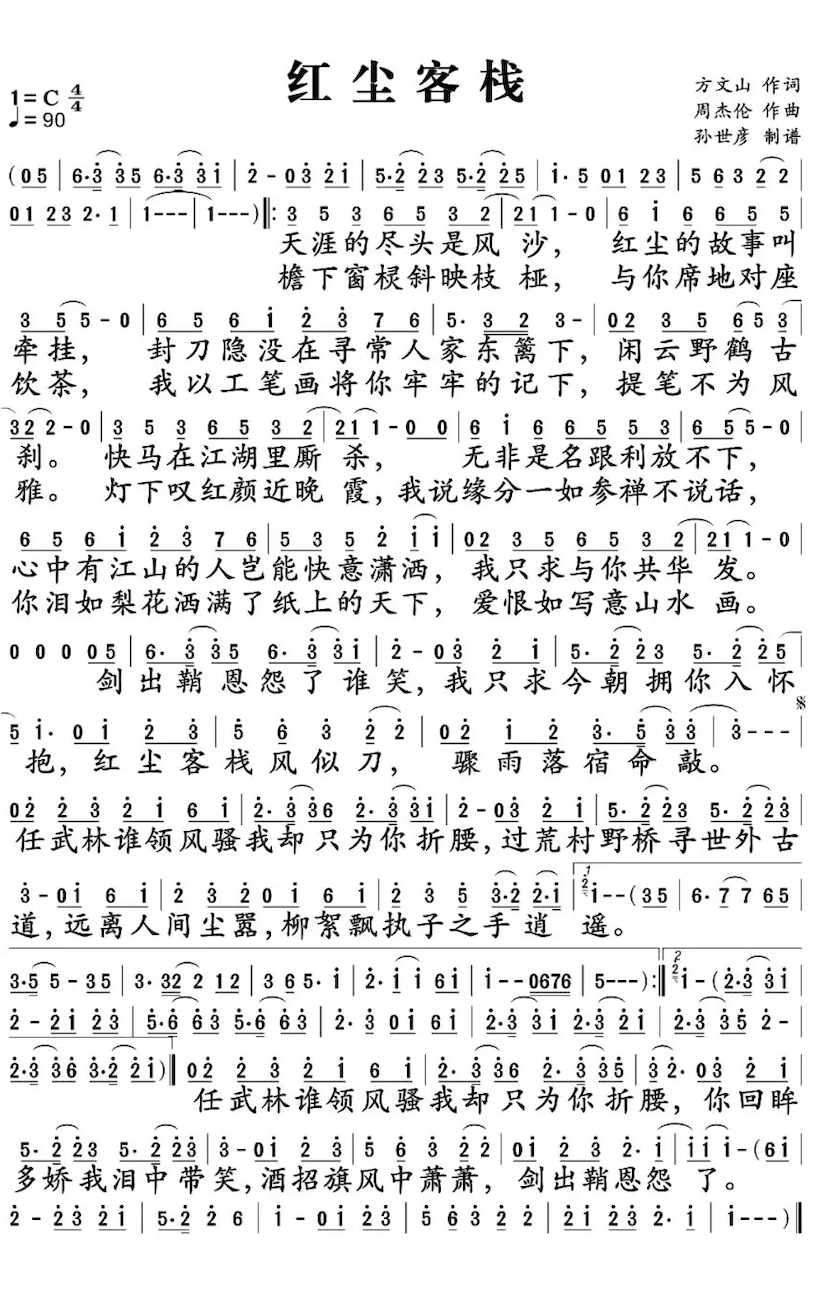
红尘客栈
#C调
#作5
发布于 2025-04-24
/
15 阅读
/
0 评论
/
资源来自网络收集,如有侵权请联系删除!
上一篇:
何以歌
下一篇:
红颜旧
是否对你有帮助?
3
4
1
2
评论
当前没有文章
至顶
至底